UCHEES.RU - помощь студентам и школьникам

В прямоугольном треугольнике медиана, проведенная к гипотенузе, равна 6,5 см, длина одного катета — 5 см. Найдите длину другого катета.


В 22:43 поступил вопрос в раздел ЕГЭ (школьный), который вызвал затруднения у обучающегося.

Вопрос вызвавший трудности

В прямоугольном треугольнике медиана, проведенная к гипотенузе, равна 6,5 см, длина одного катета — 5 см. Найдите длину другого катета.

Ответ подготовленный экспертами Учись.Ru

Для того чтобы дать полноценный ответ, был привлечен специалист, который хорошо разбирается требуемой тематике "ЕГЭ (школьный)". Ваш вопрос звучал следующим образом: В прямоугольном треугольнике медиана, проведенная к гипотенузе, равна 6,5 см, длина одного катета — 5 см. Найдите длину другого катета.

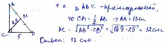
После проведенного совещания с другими специалистами нашего сервиса, мы склонны полагать, что правильный ответ на заданный вами вопрос будет звучать следующим образом:

решение задания по геометрии
 



НЕСКОЛЬКО СЛОВ ОБ АВТОРЕ ЭТОГО ОТВЕТА:

Работы, которые я готовлю для студентов, преподаватели всегда оценивают на отлично. Я занимаюсь написанием студенческих работ уже более 4-х лет. За это время, мне еще ни разу не возвращали выполненную работу на доработку! Если вы желаете заказать у меня помощь оставьте заявку на этом сайте. Ознакомиться с отзывами моих клиентов можно на этой странице.

Панфилова Лейла Ивановна - автор студенческих работ, заработанная сумма за  прошлый месяц 86 400 рублей. Её работа началась с того, что она просто откликнулась на эту вакансию

ПОМОГАЕМ УЧИТЬСЯ НА ОТЛИЧНО!

Выполняем ученические работы любой сложности на заказ. Гарантируем низкие цены и высокое качество.

Деятельность компании в цифрах:

Зачтено оказывает услуги помощи студентам с 1999 года. За все время деятельности мы выполнили более 400 тысяч работ. Написанные нами работы все были успешно защищены и сданы. К настоящему моменту наши офисы работают в 40 городах.

РАЗДЕЛЫ САЙТА

Ответы на вопросы - в этот раздел попадают вопросы, которые задают нам посетители нашего сайта. Рубрику ведут эксперты различных научных отраслей.

Полезные статьи - раздел наполняется студенческой информацией, которая может помочь в сдаче экзаменов и сессий, а так же при написании различных учебных работ.

Красивые высказывания - цитаты, афоризмы, статусы для социальных сетей. Мы собрали полный сборник высказываний всех народов мира и отсортировали его по соответствующим рубрикам. Вы можете свободно поделиться любой цитатой с нашего сайта в социальных сетях без предварительного уведомления администрации.

ЗАДАТЬ ВОПРОС

НОВЫЕ ОТВЕТЫ

ПОХОЖИЕ ВОПРОСЫ