UCHEES.RU - помощь студентам и школьникам

В параллелепипеде ABCDA1B1C1D1 вершины А (1; 2; -4) и Сх (3; 0; 2). Найдите координаты точки пересечения его диагоналей.


В 1:08 поступил вопрос в раздел ЕГЭ (школьный), который вызвал затруднения у обучающегося.

Вопрос вызвавший трудности

В параллелепипеде ABCDA1B1C1D1 вершины А (1; 2; -4) и Сх (3; 0; 2). Найдите координаты точки пересечения его диагоналей.

Ответ подготовленный экспертами Учись.Ru

Для того чтобы дать полноценный ответ, был привлечен специалист, который хорошо разбирается требуемой тематике "ЕГЭ (школьный)". Ваш вопрос звучал следующим образом: В параллелепипеде ABCDA1B1C1D1 вершины А (1; 2; -4) и Сх (3; 0; 2). Найдите координаты точки пересечения его диагоналей.

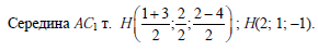
После проведенного совещания с другими специалистами нашего сервиса, мы склонны полагать, что правильный ответ на заданный вами вопрос будет звучать следующим образом:

решение задания по геометрии
 



НЕСКОЛЬКО СЛОВ ОБ АВТОРЕ ЭТОГО ОТВЕТА:

Работы, которые я готовлю для студентов, преподаватели всегда оценивают на отлично. Я занимаюсь написанием студенческих работ уже более 4-х лет. За это время, мне еще ни разу не возвращали выполненную работу на доработку! Если вы желаете заказать у меня помощь оставьте заявку на этом сайте. Ознакомиться с отзывами моих клиентов можно на этой странице.

Соколова Кармелитта Лаврентьевна - автор студенческих работ, заработанная сумма за  прошлый месяц 52 123 рублей. Её работа началась с того, что она просто откликнулась на эту вакансию

ПОМОГАЕМ УЧИТЬСЯ НА ОТЛИЧНО!

Выполняем ученические работы любой сложности на заказ. Гарантируем низкие цены и высокое качество.

Деятельность компании в цифрах:

Зачтено оказывает услуги помощи студентам с 1999 года. За все время деятельности мы выполнили более 400 тысяч работ. Написанные нами работы все были успешно защищены и сданы. К настоящему моменту наши офисы работают в 40 городах.

РАЗДЕЛЫ САЙТА

Ответы на вопросы - в этот раздел попадают вопросы, которые задают нам посетители нашего сайта. Рубрику ведут эксперты различных научных отраслей.

Полезные статьи - раздел наполняется студенческой информацией, которая может помочь в сдаче экзаменов и сессий, а так же при написании различных учебных работ.

Красивые высказывания - цитаты, афоризмы, статусы для социальных сетей. Мы собрали полный сборник высказываний всех народов мира и отсортировали его по соответствующим рубрикам. Вы можете свободно поделиться любой цитатой с нашего сайта в социальных сетях без предварительного уведомления администрации.

ЗАДАТЬ ВОПРОС

НОВЫЕ ОТВЕТЫ

ПОХОЖИЕ ВОПРОСЫ